Chestionar Pentru Orientarea In Cariera

Odata ce orientarea in cariera a fost realizata si sunt constientizate care sunt profesiile pentru care au reale aptitudini vor sti sa se descurce la interviurile.
Chestionar pentru orientarea in cariera. Chestionar de interese profesionale holland. Profesia reprezintă un rezultat al tuturor alegerilor pe care le facem în plan educațional prin prisma profesiei avem acces la job uri dintr un anumit domeniu iar suma experiențelor noastre profesionale reprezintă cariera pe care o construim. De aceea serviciile de consiliere în carieră sunt esențiale pentru traseul educațional și profesional începând de la cele mai tinere vârste. Chestionar de orientare profesională ce carieră ți se potrivește.
Chestionar de evaluare a satisfacției studenților privind serviciile ulbs pentru completarea fisei de lichidare chestionar inserție absolvenți licență se va completa înainte de ridicarea diplomei de licență chestionar inserție absolvenți master se va completa înainte de ridicarea diplomei de master. Conferința națională cariera ta în hr. Urmează pașii de mai jos pentru a te cunoaște mai bine și pentru a afla care este profesia ce se potrivește intereselor tale precum și caracteristicilor tale psihologice și de temperament. 27 octombrie 2013 16 21.
Cu alte cuvinte consilierea în carieră se adresează deopotrivă elevilor care fac primele alegeri legate de viitorul lor profesional și persoanelor adulte care. Conferinta cariera ta in hr 2020. De mic copil ți ai dorit o profesie dar dorești să fii sigur că se potrivește cel mai bine personalității tale. Orientarea şcolară şi profesională.
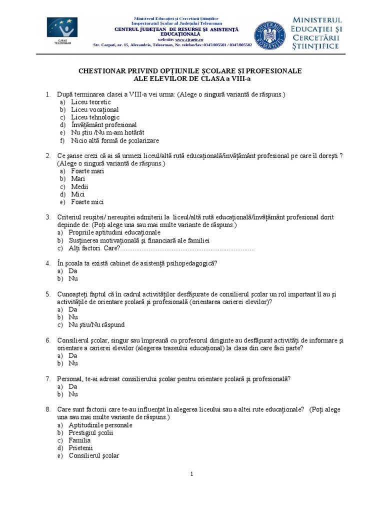
Chestionarul este util pentru cunoaşterea opţiunilor elevilor şi completarea fişei psihopedagogice. Cariera ce chestionar de orientare potriveste profesionala se ti. Pentru persoanele care trec printr un proces de consiliere si orientare profesionala acest risc nu mai exista pentru ca deaja si au identificat potentialul si factorii motivationali. Pentru mai multe descărcați fișierul.
0 stele 0 review uri. Proiect cofinanţat din fondul social european prin programul operaţional sectorial pentru dezvoltarea resurselor umane 2007 2013 axa prioritară 2 corelarea învăţării pe tot parcursul vieţii cu piaţa muncii domeniul major de intervenţie 2 1 tranziţia de la şcoală la viaţa activă titlul proiectului. Scopul și obiectivele consilierii în carieră consilierea în carieră vizează asistarea indivizilor indiferent de vârstă și de momentul vieții active pentru a lua cele mai bune decizii cu privire la propria carieră. Doar pentru că ai făcut studii de specialitate nu iți garantează o carieră de succes într un domeniu care nu te mai atrage.